LeetCode-141. Linked List Cycle

问题描述

Given head, the head of a linked list, determine if the linked list has a cycle in it.

There is a cycle in a linked list if there is some node in the list that can be reached again by continuously following the next pointer. Internally, pos is used to denote the index of the node that tail’s next pointer is connected to. Note that pos is not passed as a parameter.

Return true if there is a cycle in the linked list. Otherwise, return false.

Example :

1
2
3
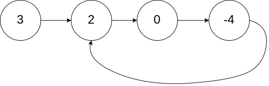
Input: head = [3,2,0,-4], pos = 1
Output: true
Explanation: There is a cycle in the linked list, where the tail connects to the 1st node (0-indexed).

Constraints:

  • The number of the nodes in the list is in the range [0, 104].
  • -105 <= Node.val <= 105
  • pos is -1 or a valid index in the linked-list.

解答

通过快慢指针的方法来判断

1
2
3
4
5
6
7
8
9
10
11
12
13
14
15
16
17
18
19
20
21
22
23
24
25
26
27
28
29
30
31
32
33
34
/*
* @Description: 判断链表中是否有环
* @Author: libk
* @Github: https://github.com/libk
*/
/**
* Definition for singly-linked list.
* function ListNode(val) {
* this.val = val;
* this.next = null;
* }
*/

/**
* @param {ListNode} head
* @return {boolean}
*/
const hasCycle = function(head) {
if (head === null) {
return false
}

let fast = head
let slow = head

while (fast !== null && fast.next !== null) {
fast = fast.next.next
slow = slow.next
if (fast === slow) {
return true
}
}
return false
}